芯片供应商
HOME
芯片供应商
正文内容
差分放大器芯片 运放组成的差分放大电路
发布时间 : 2025-12-30
作者 : 小编
访问数量 : 23
扫码分享至微信

运放组成的差分放大电路

一. 来自传感器的信号往往很微弱,需要运放进行放大,以便后续的数字化处理。图一为基本差分放大电路,它是反相输入和同相输入相结合的电路,当电阻值满足:Rf/R1=R3/R2=K时,

Uo=K(Ui2-Ui1) ,K为差动放大倍数,图一的K=10 ;

由于有同相端的电阻分压网络和反相端的负反馈网络的存在,使得该电路的输入电阻不够大,如信号源的内阻比较大或是变化的,将会使输出信号产生较大的误差,换而言之,这种差分电路只能配低内阻信号源;同时该电路要求Rf/R1精确等于R3/R2,否则差分输入和输出之间将不是正比例线性函数关系,会同时放大共模信号,共模抑制比就会急剧下降,换句话说,该电路所用的电阻必须是低温漂的高精度电阻。

图一 基本差分放大器

为解决图一电路无法处理高内阻传感器信号的问题,可在差放电路的两个输入端各加一个电压跟随器进行缓冲隔离,如图二所示。电压跟随器输入电阻极高,可认为断路,不取用传感器电流,不影响传感器信号的大小;跟随器的输出此时是差放电路的信号源,其输出电阻很低,可忽略其存在,就能满足该电路对低内阻信号源的要求。

图二 带缓冲器的基本差分放大电路

图一所示的基本差分放大电路,其外接的四个电阻需要严格挑选,精确度要求很高,不易满足。一般选用将四个电阻集成在芯片内部的差分放大器。光刻芯片时,利用激光微调技术,可将四个电阻校准到极高的精度。INA143就是集成的基本差分放大器芯片,其内部结构及示例如图三所示。

图三 集成差分放大器构成的电路

二. 图四是同相比例电路,平衡电阻R2=R1//Rf ,由I+ =0,知Up=Ui ;在深度负反馈条件下,Un=Up=Ui,即输入电位转移到了N点,使得Un=Ui ;易推导出Uo=(1+Rf/R1)Ui ,当断开R1(即R1=无穷大)时,Uo=Ui,输出跟随输入,得到图五所示的电压跟随器电路。现根据前面提及的电路,说明图六所示三运放构成的差分放大电路。

图四 同相比例放大电路

图五 电压跟随器

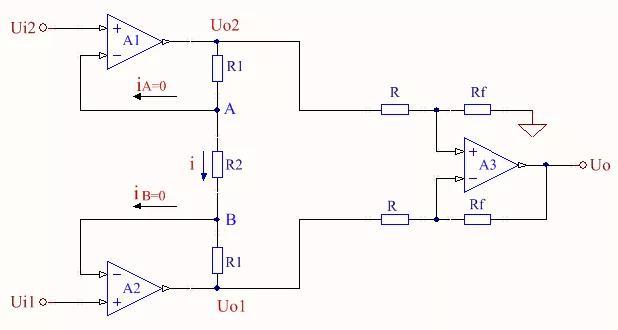
图六 三运放差分放大电路

图六所示的三运放差分放大电路由两级差动放大电路组成,A1、A2构成第一级差放电路,是两个同相比例电路的组合。由于引入了深度电压串联负反馈电路,使输入电阻大大增加,可视为断路,又使输出电阻大大减小,可视为零,为第二级基本差放电路创造了优良的工作条件;A3构成了第二级差放电路。

根据前述同相比例电路的特点,Ui2转移到了A点,即UA=Ui2 ;Ui1转移到了B点,即UB=Ui1,故流过R2的电流为:i=(Ui2-Ui1)/R2 ;又因iA=iB=0 ,R1、R2、R1中流过相同的电流i,所以对于差模信号而言:

Uo2-Uo1=(1+2R1/R2)(Ui2-Ui1) ,

Uo=Rf/R(Uo2-Uo1) ;

对于共模成分电压而言:

Ui2=Ui1=Uic(共模电压),此时i=0,Uo2=Uo1=Uic ,即共模电压没有被放大,而是直接转移到了第一级输出端,这就降低了对第二级运放A3的共模抑制比要求。

若A1、A2选用相同特性的运放,则它们的共模输出电压和漂移电压都相等,再通过第二级差分电路,就可以相互抵消。电阻R1、R2、Rf和R应使用低温漂精密电阻。

这种三运放构成的差分放大电路,已有多种型号的集成芯片,如INA102、INA848,一般称之为仪表放大器,用它们对微弱信号进行处理,更加简洁、精准、方便,当产品对成本无苛刻要求时,应优先选用。

什么是差分放大电路?差分放大电路接法大全

什么是差分放大电路

差分放大电路利用电路参数的对称性和负反馈作用,有效地稳定静态工作点,以放大差模信号抑制共模信号为显著特征,广泛应用于直接耦合电路和测量电路的输入级。但是差分放大电路结构复杂、分析繁琐,特别是其对差模输入和共模输入信号有不同的分析方法,难以理解,因而一直是模拟电子技术中的难点。差分放大电路:按输入输出方式分:有双端输入双端输出、双端输入单端输出、单端输入双端输出和单端输入单端输出四种类型。按共模负反馈的形式分:有典型电路和射极带恒流源的电路两种。

(a)射极偏置差放(b)电流源偏置差放

差放有两个输入端子和两个输出端子,因此信号的输入和输出均有双端和单端两种方式。双端输入时,信号同时加到两输入端;单端输入时,信号加到一个输入端与地之间,另一个输入端接地。双端输出时,信号取于两输出端之间;单端输出时,信号取于一个输出端到地之间。因此,差分放大电路有双端输入双端输出、单端输入双端输出、双端输入单端输出、单端输入单端输出四种应用方式。上面两个电路均为双端输入双端输出方式。

(a)电阻Re是T1和T2两管的公共射极电阻,或称射极耦合电阻,它实际上就是在工作点稳定电路中植入的射极电阻,只是此处将两个电阻的射极电阻合并成一个Re,所以经它的作用是稳定静态工作点,对零漂做进一步的抑制。电阻Re常用等效内阻极大的恒流源I0来代替,以便更有效地提高抑制零漂的作用。负电源-

用来补偿射极电阻Re两端的直流压降,以避免采用电压过高的单一正电源+

,并可扩大输出电压范围,使两基极的静态电位为零,基极电阻Rb通常为外接元件,也可不用,其作用是限制基极静态电流并提高输入电阻。

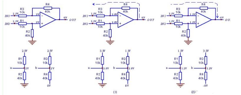
差分放大器工作状态

上图a电路,是输入信号IN1=IN2的状态。

(1)因输入端的“虚断”特性,同相输入端为高阻态,其输入电压值仅仅取决于R1、R2分压值,为2V。同相输入端的2V电压可以看作成为输入端比较基准电压;

(2)因两输入端的“虚短”特性,可进而推知其反相输入端,即R3、R4串联分压电路,其b点=a点=2V。这是反馈电压。放大器的控制目的是使反馈电压等于基准电压;

(3)由R1=R3,R2=R4条件可知,放大器输出端只有处于“虚地”状态,即输出端为0V,才能满足b点=a点=2V,这可以由此导出差分放大器的一个工作特征。

上图b中的(1)电路,是IN1》IN2的状态。

(1)此时因同相输入端电压高于反相输入端,输出端电压往正方向变化,其R3、R4偏置电路中的电流方向如图所示;

(2)由R3、R4的阻值比例可知,R3两端电压降为(2.8V-1.5V)/10k,则R4两端电压降为1.3V×4=5.2V,输出端电压为2.8V+5.2V=8V。

(4)此时的输入电压差为IN1-IN=2V,输出电压为8V。显然,该差分放大器的差分电压放大倍数=R4/R3是4倍压差分放大器。由此可以推知差分放大器的差分输入放大倍数为(1N1-IN2)×R4/R3=-OUT

上图b中的(2)电路,是IN1《IN2的状态。

此时因反同相输入端电压高于同相输入端,输出端电压往负方向变化,其R3、R4偏置电路中的电流方向如图所示。同样,依R3、R4的阻值比例可推知,在此输入条件下,输出端电压为-8V,电路依然将输入差分信号放大了4倍。

从电路的工作(故障)状态判断来说,直接测量R3、R4串联电路的分压状态,只要R3、R4串联分压是成立的,则电路就大致上(起码运放芯片)就是好的;电路的电压放大倍数也由此得出;只要测量输入电压差(R1、R3左端电压差),再测量输出端电压进行比较,则外围偏置电路的好坏。

差分放大电路的接法大全

1、双端输入单端输出电路

电路如右图所示,为双端输入、单端输出差分放大电路。由于电路参数不对称,影响了静态工作点和动态参数。

直流分析:

画出其直流通路如右下图所示,图中和是利用戴维宁定理进行变换得出的等效电源和电阻,其表达式分别为:

交流分析:

在差模信号作用时,负载电阻仅取得T1管集电极电位的变化量,所以与双端输出电路相比,其差模放大倍数的数值减小。

如右下图所示为差模信号的等效电路。在差模信号作用时,由于T1管与T2管中电流大小相等方向相反,所以发射极相当于接地。

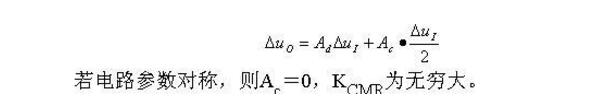
输出电压

一半。如果输入差模信号极性不变,而输出信号取自T2管的集电极,则输出与输入同相。当输入共模信号时,由于两边电路的输入信号大小相等极性相同。与输出电压相关的T1管一边电路对共模信号的等效电路如下

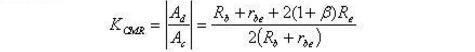
共模抑制比

结论:Re愈大,Ac的值愈小,Kcmr愈大,电路的性能愈好。

2、单端输入、双端输出电路

如下图(a)所示为单端输入、双端输出电路。电路对于差模信号是通过发射极相连的方式将T,管的发射极电流传递到T,管的发射极的,故称这种电路为射极耦合电路。

如图(b)所示将输入信号进行等效变换,可看出,两输入端分别输入了差模信号和共模信号。

可见,单端输入电路与双端输入电路的区别在于:差模信号输入的同时,伴随着共模信号输入。

输出电压

静态工作点以及动态参数的分析完全与双端输入、双端输出相同。

3、单端输入、单端输出电路

如右图所示为单端输入、单端输出电路,该电路对静态工作点、差模增益、共模增益、输入与输出电阻的分析与单端输出电路相同。对输入信号的作用分析与单端输入电路相同。

相关问答

差分放大器和运算放大器有什么区别?

运算放大器是模拟集成电路的一种,可以用于加、减、乘、除、乘方、开方等运算,其功能的关键词在于运算。差分放大电路可以是用分立元器件组成,也可以用运算放...

l4204s参数?

L4204S是一款四路差分放大器芯片,其主要参数如下:1.输入电压范围:+5V至+32V2.输出电阻:1kΩ(最大值)3.增益带宽积:100MHz4.输入失调电流:±10μA(...

请问集成运放中,输入级采用差分放大电路的原因?

1、差分放大的两大作用:(1)对差模输入信号的放大作用(2)对共模输入信号的抑制作用所以呢,在电路对称的条件下,差分放大具有很强的抑制零点漂移及抑制噪声与干...

【差分放大电路有什么作用?】作业帮

[最佳回答]差分放大电路对共模输入信号有很强的抑制能力,对差模信号却没有多大的影响,因此差分放大电路一般做集成运算的输入级和中间级,可以抑制由外界条件的...

差分放大电路,LM358。这段电路什么意思???怎么工作的??BT14...

差分放大电路是一种基于运算放大器的电路,它可以将两个输入信号的差异放大到输出端,常用于信号测量和处理。LM358是一款常用的运算放大器芯片,具有...

传感器实验仪坏了,差分放大器的板块里面增益和调零的电位器怎么接?什么原理?

感谢邀请~集成电路根据芯片型号去查说明手册哈,模拟电路的经典接法和原理倒可以回答。感谢邀请~集成电路根据芯片型号去查说明手册哈,模拟电路的经典接法和...

请问芯片AD629AR是干什么用的?

你好:AD629AP是一款精密差动放大器。(高共模电压差动放大器)你好:AD629AP是一款精密差动放大器。(高共模电压差动放大器)

运算放大器的工作原理是什么?

运算放大器的工作原理是什么?答;运算放大器是一种集成电路,它是将电阻器、电容器、二极管、晶体三极管以及它们的连接线等全部集成在一小块半导体基片上的完...

运算放大器为何用双电源供电-ZOL问答

运算放大器为了保证输出失真小等,都用差分放大,这种放大电路有两个管子,即对管,所以要一个正一个负单电源供电的运算放大器不仅能够在单电源条件下工作,也可在...

lm324集成电路原理?

LM324系列器件带有真差动输入的四运算放大器,具有真正的差分输入。与单电源应用场合的标准运算放大器相比,它们有一些显著优点。该四放大器可以工作在低到3.0...

 曾荫权简历  基罗 
王经理: 180-0000-0000(微信同号)
10086@qq.com
北京海淀区西三旗街道国际大厦08A座
©2025  上海羊羽卓进出口贸易有限公司  版权所有.All Rights Reserved.  |  程序由Z-BlogPHP强力驱动
网站首页
电话咨询
微信号

QQ

在线咨询真诚为您提供专业解答服务

热线

188-0000-0000
专属服务热线

微信

二维码扫一扫微信交流
顶部